搜索
主菜单
成语大全网
组词大全
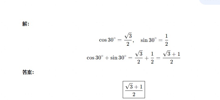
cos30°+sin30°=______.
cos30°+sin30°=______.
解:
相关成语
【蹀骢】的近义词是什么,【蹀骢】的同义词有哪些
郑某因家庭关系不和睦,心情烦闷,于是离家出走到外省务工为生,一直未与家人联系。6年后因思念家乡回到家中,得知半年前其妻王某已向法院申请宣告其死亡并改嫁李某,郑某与王某的两岁女儿郑芯已由张某收养,闲置的
农户小额贷款可使用()方式。 A. 联保小组担保 B. 保证担保 C. 抵押担保 D. 质押担保
佛诞节又名什么节? A.佛庆节 B.斋佛节 C.夏诞节 D.浴佛节
【丘亭】的英语怎么说,【丘亭】的英文翻译
平静的反义词,痛苦的反义词
简述组织沟通的基本原则
《邯郸学步》的近义词是( )。 A. 东施效颦 B. 标新立异 C. 独辟蹊径
cos30°+sin30°=______.
以下革命诗句中,哪些描绘了红军长征的壮举?(多选) A、金沙水拍云崖暖,大渡桥横铁索寒。 B、雄关漫道真如铁,而今迈步从头越。 C、红军遗迹今犹在,莫忘英雄夺险桥。 D、敌军围困万千重,我自岿然不动。
挨肩迭背
嗳声叹气
騃女痴男
騃童钝夫
碍足碍手
按兵束甲
暗锤打人
暗斗明争
暗度金针
安国富民
挨肩迭背
嗳声叹气
騃女痴男
騃童钝夫
碍足碍手
按兵束甲
暗锤打人
暗斗明争
暗度金针
安国富民
挨肩迭背
嗳声叹气
騃女痴男
騃童钝夫
碍足碍手
按兵束甲
暗锤打人
暗斗明争
暗度金针
安国富民
成语结构
联合式
主谓式
动宾式
偏正式
紧缩式
连动式
补充式
复句式
复杂式
成语组合
ABAC式
AABC式
ABCC式
AABB式
ABCB式
ABAB式
ABBC式
ABCA式
A里AB式
成语组词
生肖
四季
数字
动物
植物
颜色
方位
味道
自然
身体
武器
词典
成语字数
三字
四字
五字
六字
七字
八字
九字
十字
十一字
十二字
十四字
成语首拼
A
B
C
D
E
F
G
H
J
K
L
M
N
O
P
Q
R
S
T
W
X
Y
Z
返回
历史搜索
武
爱日惜力
合
鼠
三 心
树
大家都在搜
树
三 心
鼠
合
爱日惜力
武